(ភ្នំពេញ)៖ កម្ពុជា-ថៃ ឯកភាពគ្នាលើបទឈប់បាញ់ ដោយអនុវត្តចាប់ពីម៉ោង១២៖០០ថ្ងៃត្រង់ ថ្ងៃទី២៧ ខែធ្នូ ឆ្នាំ២០២៥ និងរក្សាការឈរជើងនៅទីតាំងបច្ចុប្បន្ន។
សេចក្ដីថ្លែងការណ៍រួម នៃកិច្ចប្រជុំពិសេសគណៈកម្មាធិការព្រំដែនទូទៅ (GBC) លើកទី៣ រវាងព្រះរាជាណាចក្រកម្ពុជា និងព្រះរាជាណាចក្រថៃ នៅច្រកព្រំដែនអន្តរជាតិព្រំ ខេត្តប៉ៃលិន ប្រទេសកម្ពុជា-បានផាកកាត ខេត្តចន្ទបុរី ប្រទេសថៃ ថ្ងៃទី២៧ ធ្នូ ២០២៥។
កិច្ចប្រជុំពិសេសលើកទី៣ នៃគណៈកម្មាធិការព្រំដែនទូទៅ(GBC) នៅច្រកទ្វារព្រំដែន អន្តរជាតិព្រំ (ខេត្តប៉ៃលិន ប្រទេសកម្ពុជា) – បានប៉ាក់កាដ (ខេត្តច័ន្ទបុរី ប្រទេសថៃ) ដែលត្រូវ បានដឹកនាំដោយឯកឧត្តម នាយឧត្តមសេនីយ៍ ទៀ សីហា ឧបនាយករដ្ឋមន្ត្រី រដ្ឋមន្ត្រីក្រសួង ការពារជាតិនៃព្រះរាជាណាចក្រកម្ពុជា និងជាសហប្រធានគណៈកម្មាធិការព្រំដែនទូទៅកម្ពុជា និង ឯកឧត្តម នាយឧត្តមសេនីយ៍ Nattaphon Narkphanit រដ្ឋមន្ត្រីក្រសួងការពារជាតិនៃព្រះរាជា ណាចក្រថៃ និងជាសហប្រធានគណៈកម្មាធិការព្រំដែនទូទៅថៃ និង ដោយមានការចូលរួមសង្កេតពី ក្រុមអ្នកសង្កេតការណ៍អាស៊ាន (AOT)។
កិច្ចប្រជុំនេះ៖
ទទួលស្គាល់ពីសារៈសំខាន់នៃការធ្វើកិច្ចពិភាក្សាស្តីពីដំណោះស្រាយជម្លោះដោយសន្តិវិធី ក្នុងបរិយាកាសនៃជំនឿទុកចិត្តគ្នា ភាពស្មោះត្រង់ សុទ្ធចិត្ត យុត្តិធម៌ និងការគោរពគ្នាទៅវិញទៅមក ស្របតាមគោលបំណង និងគោលការណ៍នៃធម្មនុញ្ញអង្គការសហប្រជាជាតិ ធម្មនុញ្ញអាស៊ាន និង សន្ធិសញ្ញាមិត្តភាព និងសហប្រតិបត្តិការនៅអាស៊ីអាគ្នេយ៍ សំដៅបើកផ្លូវសម្រាប់ជំពូកថ្មីនៃសន្តិភាព
និងកិច្ចសហប្រតិបត្តិការរវាងប្រទេសទាំងពីរ។
រំលឹកឡើងវិញនូវសេចក្តីប្រកាសរបស់ប្រធានអាស៊ានសម្រាប់កិច្ចប្រជុំពិសេសរបស់រដ្ឋមន្ត្រី ការបរទេសអាស៊ាន ស្ដីពីស្ថានភាពបច្ចុប្បន្នរវាងកម្ពុជា និងថៃ ដែលបានរៀបចំឡើង កាលពីថ្ងៃទី២២ ខែធ្នូ ឆ្នាំ២០២៥ នៅទីក្រុងគូឡាឡាំពួរ។
បញ្ជាក់សាជាថ្មីអំពីការប្តេជ្ញាចិត្តយ៉ាងមុតមាំក្នុងការជៀសវាងការគំរាមកំហែង
ឬការប្រើប្រាស់ កម្លាំង ការដោះស្រាយជម្លោះដោយសន្តិវិធី និងការគោរពព្រំដែនអន្តរជាតិ និងច្បាប់អន្តរជាតិ ដើម្បី លើកកម្ពស់សន្តិភាព សន្តិសុខ ស្ថិរភាព និងវិបុលភាពនៅក្នុងតំបន់ ដោយផ្អែកលើការគោរពគ្ន ទៅវិញទៅមក ចំពោះឯករាជ្យភាព អធិបតេយ្យ សមភាព បូរណភាពទឹកដី និងអត្តសញ្ញាណជាតិ របស់ប្រទេសរៀងៗខ្លួន។
បញ្ជាក់ឡើងវិញនូវការប្តេជ្ញាចិត្តដ៏មុតមាំចំពោះការអនុវត្តពេញលេញ និងមានប្រសិទ្ធភាពន ការរៀបចំបទឈប់បាញ់ចុះថ្ងៃទី២៨ ខែកក្កដា ឆ្នាំ២០២៥ កិច្ចព្រមព្រៀងពាក់ព័ន្ធទាំងអស់ដែល សម្រេចបានក្រោយបទឈប់បាញ់នេះ និងកិច្ចព្រមព្រៀងផ្សេងៗដែលសម្រេចបាននៅក្នុងកិច្ចប្រជុំនៃ គណៈកម្មាធិការព្រំដែនទូទៅ និងនៅក្នុងកិច្ចប្រជុំគណៈកម្មការចំរុះព្រំដែន ក៏ដូចជាកិច្ចព្រមព្រៀង ផ្សេងទៀតដែលមានស្រាប់រវាងកម្ពុជា និងថៃ។
បញ្ជាក់ឡើងវិញនូវការតាំងចិត្តរួមគ្នាក្នុងការវិលត្រឡប់ទៅរកការសន្ទនាតាមរយៈ និងផ្អែកលើ មូលដ្ឋាននៃកិច្ចព្រមព្រៀងដែលធ្វើឡើងកន្លងមក ក៏ដូចជាយន្តការទ្វេភាគីដែលមានស្រាប់ សំដៅ បញ្ឈប់អរិភាពគ្រប់ទម្រង់ និងដើម្បីបង្កើតនូវសន្តិភាពមួយដ៏ពិតប្រាកដ និងប្រកបដោយចីរភាព ជាមួយនឹងការប្តេជ្ញាចិត្តយ៉ាងមុតមាំចំពោះការកសាងទំនុកចិត្ត និងការស្ដារប្រក្រតីភាពឡើងវិញ និង សន្តិភាពយូរអង្វែងនៅតាមបណ្ដោយព្រំដែន។
ឯកភាពលើលក្ខខណ្ឌ និងវិធានការដូចខាងក្រោម៖
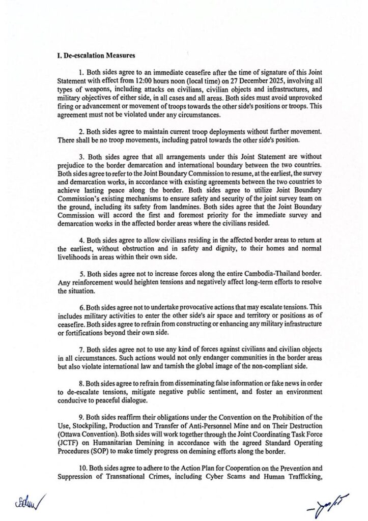
I. វិធានការកាត់បន្ថយភាពតានតឹង
១. ភាគីទាំងពីរឯកភាពគ្នាលើបទឈប់បាញ់ជាបន្ទាន់ ក្រោយការចុះហត្ថលេខាលើសេចក្តី ប្រកាសរួមនេះ គិតចាប់ពីម៉ោង១២:០០ ថ្ងៃត្រង់(ម៉ោងក្នុងស្រុក) ថ្ងៃទី២៧ ខែធ្នូ ឆ្នាំ២០២៥ ពាក់ព័ន្ធនឹងការប្រើប្រាស់អាវុធគ្រប់ប្រភេទ ក្នុងគ្រប់ករណី និងនៅគ្រប់តំបន់ ដោយរាប់ បញ្ចូលទាំងការវាយប្រហារលើជនស៊ីវិល គោលដៅនិងហេដ្ឋារចនាសម្ព័ន្ធស៊ីវិល និងកម្មវត្ថុ ខាងយោធារបស់ភាគីម្ខាងទៀត។ ភាគីទាំងពីរត្រូវជៀសវាងការផ្ទុះអាវុធដោយគ្មានមូលហេតុ ឬ ធ្វើសកម្មភាពរុលទៅមុខ ឬ ចល័តកម្លាំងទៅលើទីតាំង ឬ កងកម្លាំងរបស់ភាគីម្ខាងទៀត។ ទោះស្ថិតក្នុងកាលៈទេសៈណាក៏ដោយ ភាគីទាំងពីរមិនត្រូវបំពានកិច្ចព្រមព្រៀងនេះជាដាច់ខាត។
២. ភាគីទាំងពីរឯកភាពគ្នារក្សាការឈរជើងនៃកងកម្លាំងរបស់ខ្លួននៅទីតាំងបច្ចុប្បន្ន ដោយមិនត្រូវ
ធ្វើសកម្មភាពចល័តកងកម្លាំងបន្ថែមទៀត។ មិនត្រូវឱ្យមានការធ្វើសកម្មភាពចល័តកងកម្លាំង ដោយរាប់បញ្ចូលទាំងការល្បាតចូលទៅទីតាំងរបស់ភាគីម្ខាងទៀត។
៣. ភាគីទាំងពីរឯកភាពគ្នាថា រាល់ការព្រមព្រៀងក្រោមសេចក្ដីប្រកាសរួមនេះមិនត្រូវធ្វើឱ្យ ប៉ះពាល់ដល់ការខ័ណ្ឌសីមាព្រំដែន និងព្រំដែនអន្តរជាតិរវាងប្រទេសទាំងពីរនោះទេ។ ភាគី ទាំងពីរឯកភាពគ្នាប្រគល់តួនាទីឱ្យគណៈកម្មការចំរុះព្រំដែនបន្តអនុវត្តការងារវាស់វែង និងខ័ណ្ឌ
សីមាព្រំដែន ឱ្យបានឆាប់រហ័សបំផុត ស្របតាមកិច្ចព្រមព្រៀងដែលមានស្រាប់រវាងប្រទេស ទាំងពីរ ដើម្បីសម្រេចបាននូវសន្តិភាពយូរអង្វែងតាមបណ្ដោយព្រំដែន។ ភាគីទាំងពីរឯកភាពគ្ន ថានឹងប្រើប្រាស់យន្តការដែលមានស្រាប់នៃគណៈកម្មការចំរុះព្រំដែន ដើម្បីធានាសុវត្ថិភាព និងសន្តិសុខរបស់ក្រុមការងារវាស់វែងចំរុះនៅលើទីតាំងជាក់ស្ដែង ដោយរាប់បញ្ចូលទាំង សុវត្ថិភាពពីជាន់មីន។ ភាគីទាំងពីរឯកភាពគ្នាថា គណៈកម្មការចំរុះព្រំដែននឹងផ្តល់អាទិភាព ខ្ពស់បំផុតចំពោះការងារវាស់វែង និងខ័ណ្ឌសីមាព្រំដែននៅតំបន់រងផលប៉ះពាល់ ដែលមាន ជនស៊ីវិលរស់នៅ។
៤. ភាគីទាំងពីរឯកភាពអនុញ្ញាតឱ្យជនស៊ីវិលរស់នៅក្នុងតំបន់ព្រំដែនដែលរងផលប៉ះពាល់វិល ត្រឡប់ទៅផ្ទះសម្បែង និងប្រកបជីវភាពរស់នៅធម្មតារបស់ពួកគេវិញ ក្នុងពេលឆាប់ៗបំផុត ដោយគ្មានការរារាំង និងដោយមានសុវត្ថិភាព និងសេចក្តីថ្លៃថ្នូរ នៅក្នុងតំបន់រៀងៗខ្លួន។ ៥. ភាគីទាំងពីរឯកភាពគ្នាថានឹងមិនបង្កើនកម្លាំងតាមបណ្ដោយព្រំដែនកម្ពុជា-ថៃទាំងមូល។
ការបង្កើនកងកម្លាំងណាមួយអាចនឹងបង្កើនភាពតានតឹង ហើយបង្កឱ្យមានផលអវិជ្ជមាន
ប៉ះពាល់ដល់កិច្ចខិតខំប្រឹងប្រែងរយៈពេលវែងក្នុងការដោះស្រាយស្ថានការណ៍បច្ចុប្បន្ន។
៦. ភាគីទាំងពីរឯកភាពគ្នាមិនប្រព្រឹត្តសកម្មភាពបង្កហេតុណាមួយដែលអាចនាំឱ្យមានភាព តានតឹង ដោយរួមបញ្ចូលទាំងសកម្មភាពយោធាចូលក្នុងដែនអាកាស និងបូរណភាពទឹកដី ឬ ទីតាំងរបស់ភាគីម្ខាងទៀតគិតចាប់ពីពេលមានបទឈប់បាញ់។ ភាគីទាំងពីរឯកភាពគ្នាមិនធ្វើ ការសាងសង់ ឬ ពង្រីកហេដ្ឋារចនាសម្ព័ន្ធយោធា ឬ លេណដ្ឋានផ្សេងៗ នៅហួសពីទីតាំង របស់ខ្លួនឡើយ។
៧. ភាគីទាំងពីរឯកភាពគ្នាមិនប្រើប្រាស់កម្លាំងគ្រប់ប្រភេទប្រឆាំងនឹងជនស៊ីវិល និងគោលដៅ
ស៊ីវិលទោះក្នុងកាលៈទេសៈណាក៏ដោយ។ សកម្មភាពទាំងនេះមិនត្រឹមតែបង្កគ្រោះថ្នាក់ ចំពោះសហគមន៍នៅតាមតំបន់ព្រំដែនប៉ុណ្ណោះទេ ថែមទាំងជាការបំពានច្បាប់អន្តរជាតិ និង
ធ្វើឱ្យប៉ះពាល់ដល់កេរ្តិ៍ឈ្មោះនៅលើឆាកអន្តរជាតិរបស់ភាគីដែលបានបំពានផងដែរ។
៨. ភាគីទាំងពីរឯកភាពគ្នាជៀសវាងការចែកចាយព័ត៌មានមិនពិត ឬ ព័ត៌មានក្លែងក្លាយ ដើម្បី កាត់បន្ថយភាពតានតឹង កាត់បន្ថយសាធារណមតិអវិជ្ជមាន និងលើកកម្ពស់បរិយាកាស អំណោយផលសម្រាប់កិច្ចសន្ទនាដោយសន្តិវិធី។
៩. ភាគីទាំងពីរបញ្ជាក់សាជាថ្មីនូវកាតព្វកិច្ចរបស់ខ្លួនក្រោមអនុសញ្ញាស្ដីពីការហាមការប្រើប្រាស់ ការរក្សាទុក ការផលិត និងការផ្ទេរគ្រាប់មីនប្រឆាំងមនុស្ស និងការបំផ្លាញគ្រាប់មីនទាំងនេះ (អនុសញ្ញាអូតាវ៉ា)។ ភាគីទាំងពីរនឹងធ្វើការរួមគ្នាតាមរយៈក្រុមការងារសម្របសម្រួលចម្រុះ (JCTF) លើការងារដោះមីនមនុស្សធម៌ ស្របតាមនិយាមនីតិវិធីប្រតិបត្តិ (SOP) ដែលបាន ព្រមព្រៀងគ្នា ដើម្បីធ្វើឱ្យមានវឌ្ឍនភាពជាបន្តបន្ទាប់លើកិច្ចខិតខំប្រឹងប្រែងដោះមីនតាម បណ្ដោយព្រំដែន។
១០.ភាគីទាំងពីរឯកភាពគ្នាគោរពតាមតាមផែនការសកម្មភាពសម្រាប់កិច្ចសហប្រតិបត្តិការលើការ
ទប់ស្កាត់ និងបង្ក្រាបឧក្រិដ្ឋកម្មឆ្លងដែន រួមទាំងការឆបោកតាមអ៊ីនធឺណិត និងការជួញដូរ មនុស្ស រវាងនគរបាលជាតិកម្ពុជា និងនគរបាលភូមិន្ទថៃ ហើយបានបញ្ជាក់ជាថ្មីនូវការប្តេជ្ញាចិត្ត ជំរុញកិច្ចសហប្រតិបត្តិការ ដែលមានគោលបំណងទប់ស្កាត់ការឆបោកតាមប្រព័ន្ធបច្ចេកវិទ្យា
ដោះស្រាយបញ្ហានៃការប្រើប្រាស់ថ្នាលឌីជីថលដែលមិនត្រឹមត្រូវ និងលើកកម្ពស់ព័ត៌មាន ដែលត្រឹមត្រូវប្រកបដោយទំនួលខុសត្រូវ សំដៅរួមចំណែកដល់ជំនឿទុកចិត្ត ស្ថិរភាព និង ទំនាក់ទំនងល្អរវាងប្រទេសជិតខាង។
១១.ស្របតាមស្មារតីនៃសេចក្ដីប្រកាសរួមទីក្រុងគូឡាឡាំពួរ ចុះថ្ងៃទី២៦ ខែតុលា ឆ្នាំ២០២៥ យោធិនកម្ពុជាចំនួន ១៨ រូប នឹងត្រូវបញ្ចូនត្រឡប់មកកម្ពុជាវិញ បន្ទាប់ពីបទឈប់បាញ់ ត្រូវបានគោរពយ៉ាងពេញលេញក្នុងរយៈពេល ៧២ ម៉ោង។
II. យន្តការសម្រាប់ការអនុវត្ត និងផ្ទៀងផ្ទាត់វិធានការកាត់បន្ថយភាពតានតឹង
១២.ភាគីទាំងពីរទទួលស្គាល់ពីតួនាទីដ៏សំខាន់របស់ក្រុមអ្នកសង្កេតការណ៍អាស៊ាន (AOT) និង ឯកភាពគ្នាពង្រឹងតួនាទីរបស់ក្រុមអ្នកសង្កេតការណ៍អាស៊ាន (AOT) ក្នុងការផ្ទៀងផ្ទាត់ និង
ធានាការអនុវត្តប្រកបដោយប្រសិទ្ធភាពលើវិធានការទាំងអស់ក្នុងសេចក្ដីប្រកាសរួមនេះដោយ
ធ្វើការពិគ្រោះយោបល់ជាមួយប្រធានអាស៊ាន និងក្រុមអ្នកសង្កេតការណ៍អាស៊ាន។
១៣. ដើម្បីធានាការអនុវត្តប្រកបដោយប្រសិទ្ធភាព ភាគីទាំងពីរយល់ព្រមប្រើប្រាស់អង្គភាព សម្របសម្រួលព្រំដែនកម្ពុជា-ថៃ និងថៃ-កម្ពុជា ដើម្បីធានាថាបទឈប់បាញ់នឹងត្រូវអនុវត្ត ឱ្យបាន, គ្រប់គ្រងស្ថានភាពនៅនឹងកន្លែង, ដោះស្រាយឧប្បត្តិហេតុទាន់ពេលវេលា និង ទប់ស្កាត់ការយល់ច្រឡំ ក្រោមការសង្កេត និងការផ្ទៀងផ្ទាត់របស់ក្រុមអ្នកសង្កេតការណ៍អាស៊ាន (AOT)។
១៤. ភាគីទាំងពីរនឹងរក្សាខ្សែបណ្តាញទំនាក់ទំនងជាប្រចាំ និងដោយផ្ទាល់ រវាងរដ្ឋមន្ត្រីក្រសួង ការពារជាតិ និងអគ្គមេបញ្ជាការកងកម្លាំងប្រដាប់អាវុធ ដើម្បីឆ្លើយតបភ្លាមៗចំពោះ ស្ថានការណ៍បន្ទាន់ដែលមិនអាចដោះស្រាយបាននៅថ្នាក់មូលដ្ឋាន។ ប្រសិនបើចាំបាច់ តំណាងជាន់ខ្ពស់របស់ភាគីទាំងពីរនឹងត្រូវជួបប្រជុំគ្នាដើម្បីដោះស្រាយរាល់បញ្ហានៅនឹង
កន្លែងដោយប្រសិទ្ធភាព។
១៥. ក្រុមការងារ JCTF នឹងជូនដំណឹងដល់អាជ្ញាធរមូលដ្ឋានរៀងៗខ្លួន ក៏ដូចជាក្រុមការងារ JCTF របស់ភាគីម្ខាងទៀត ដើម្បីឱ្យបានដឹង និងដើម្បីសម្រួលដ៍ល់ប្រតិបត្តិការដោះមីន មនុស្សធម៌នៅក្នុងតំបន់អាទិភាពនៅព្រំដែនដែលបានព្រមព្រៀងគ្នា ស្របតាមផែនការ សកម្មភាពដែលបានព្រមព្រៀងគ្នាដោយភាគីទាំងពីរ ដើម្បីធ្វើឱ្យប្រតិបត្តិការមានភាពរលូន ដោយគ្មានការរារាំង ឬ ការយល់ច្រឡំណាមួយឡើយ។
១៦. ក្រុមសារព័ត៌មានផ្លូវការរបស់ភាគីទាំងពីរនឹងរក្សាការទំនាក់ទំនងជាប្រចាំ និងដោយផ្ទាល់ ដើម្បីធានាបាននូវការទប់ស្កាត់ និងការគ្រប់គ្រងព័ត៌មានមិនពិត និងព័ត៌មានក្លែងក្លាយ ប្រកបដោយប្រសិទ្ធភាព។ ក្រុមសារព័ត៌មានផ្លូវការក៏នឹងធានានូវតម្លាភាព និងភាពត្រឹមត្រូវ នព័ត៌មាន និងរបាយការណ៍ផ្សេងៗ សំដៅបង្កើនទំនុកចិត្តរវាងគ្នាទៅវិញទៅមក។
សេចក្តីប្រកាសរួមនេះ ត្រូវបានចុះហត្ថលេខា នៅម៉ោង ១០៖១៥នាទីព្រឹក ថ្ងៃទី២៧ ខែធ្នូ ឆ្នាំ២០២៥ ចំនួនពីរច្បាប់ដើម ជាភាសាអង់គ្លេស៕រក្សាសិទ្ធដោយ៖សុទ្ធលី
















